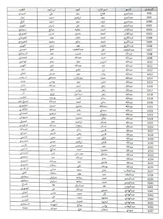
اسماء المقبولين بالتعيين ضمن درجات الوظيفية "2500"
إلى السادة المرفقة أسماؤهم ضمن اسماء المقبولين في تعيينات 2من (2500) ، مراجعة وحدة التصاريح الأمنية في مديرية تربية نينوى يوم الخميس الموافق 13 / 2 / 2025 ، تمام الساعة التاسعة صباحا وذلك لاستكمال الإجراءات المطلوبة.
ملاحظة: عند اعلان عن اسماء المقبولين في تعيينات في باقي المحافظات 2025 سوف يتم إبلاغكم من خلال موقع الرسمي لنا على التلكرام يمكنكم متابعة عبر الرابط ضغط هنا
- استمارة التصاريح الأمنية الإلكترونية مع الوصل.
- نسخة من الأمر الإداري
- نسخة من أمر المباشرة
- المستمسكات الأصلية مع نسخة مصورة منها
- عدد (2) صورة شخصية
يرجى الالتزام بالحضور في الموعد المحدد مع جميع الوثائق المطلوبة ويعتبر الحضور الزاميا و جزء من الدوام الرسمي.

