اسئلة رياضيات السادس تطبيقي 2023 الدور الاول مع الإجابة
بعد انتهاء من الامتحان الصف السادس الاعدادي 2023 نرفق لكم اسئلة رياضيات السادس تطبيقي 2023 الدور الاول مع الإجابة للطلبة.
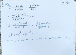
أدنى في الصورة اسئلة رياضيات السادس تطبيقي 2023 الدور الاول مع الحل تم نشرها من خلال موقع الرسمية لنا.
حل اسئلة رياضيات السادس الاعدادي تطبيقي 2023 الدور الاول
لا تنسى عزيزي الزائر زيارة الموقع عبر محركات البحث جوجل ننقل إليكم أهم الأخبار الحصرية الموثوق بها على موقع شكر للمعلومات.













